Sequences
3 Sequences
A sequence is an ordered list of numbers
A sequence can contain a finite number of terms or may continue forever.
3.1 Formal Definition: Sequence
More formally, a sequence is a function, with domain being . We can also take the domain as and start the sequence at rather than .
If is a function, viewed as a sequence, then we write instead of , instead of , etc.
3.2 Representations
There are two main ways to represent the term in a sequence. Firstly, there is a direct (or closed form or functional) representation. Secondly, there is a recursive (or indirect) representation.
A direct representation is a formula for in terms of . A recursive description gives a way of obtaining from the previously calculated .
Often in the recursive case the value of will only depend on the previous 1 or two terms, such as or .
3.3 Limits
Let be a sequence. Then
As approaches , gets larger and larger. is always close to for sufficiently large.
3.3.1 Convention
If a sequence has limit , we say that converges to and that the sequence is convergent. Otherwise the sequence is divergent.
3.4 Theorem: Limit Laws
Caution
The following limit laws apply provided that the separate limits exist (that is and are convergent):
Suppose that and are convergent sequences such that
and is a constant. Then
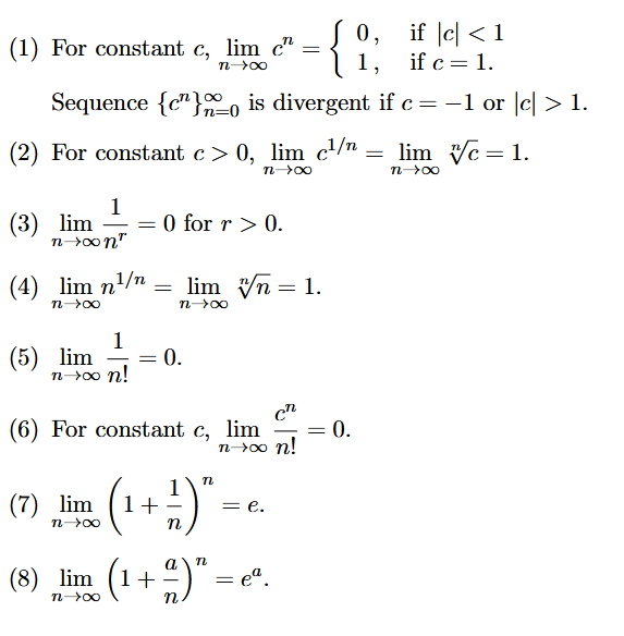
3.5 Useful Sequences to Remember

Take care with inequalities and limits. For example for all but . In general, even if for all , we can only conclude . Note the .
3.6 Theorem: Squeeze
If for for some and , then
3.6.1 Example
Use the squeeze theorem on , where .
Since
we have
Now
3.7 The Formal Definition of a Limit of a Sequence
We write
if for every number there exists a number such that
For example, means whenever .